Tham gia group học tập toán
Ôn Thi Chuyên Toán Free
Luyện thi vào 10 free
NGOC HIEN ACADEMY giới thiệu đến quý thầy, cô giáo và các em học sinh đề thi thử môn Toán tốt nghiệp THPT năm học 2022 – 2023 cụm trường THPT Tiên Du số 1 và Quế Võ số 1, tỉnh Bắc Ninh; đề thi có đáp án trắc nghiệm mã đề 102.
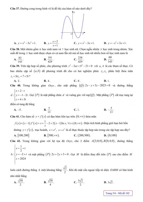
Trích dẫn Đề thi thử Toán TN THPT 2023 trường THPT Tiên Du 1 & Quế Võ 1 – Bắc Ninh:
+ Cho hình trụ có bán kính bằng 6a. Cắt hình trụ bởi mặt phẳng (P) song song với trục của hình trụ và cách trục của hình trụ một khoảng 2 5 a ta được một thiết diện là một hình vuông. Thể tích của khối trụ đã cho bằng?
+ Cho hàm số y fx có đạo hàm liên tục trên (0;+∞) thỏa mãn 1 fx x 2 2 1 ln. Diện tích hình phẳng giới hạn bởi bốn đường y fx trục hoành 2 x e 3 x e là số thực thuộc tập hợp nào trong các tập hợp sau đây?
+ Một nhóm gồm 8 học sinh nam và 7 học sinh nữ. Chọn ngẫu nhiên 5 học sinh trong nhóm. Xác suất để trong 5 học sinh được chọn có cả nam lẫn nữ mà số học sinh nữ nhiều hơn số học sinh nam là?







