Đề thi thử tốt nghiệp THPT năm 2022 môn Toán sở GD&ĐT Lai Châu
giới thiệu đến quý thầy, cô giáo và các em học sinh lớp 12 đề thi thử tốt nghiệp Trung học Phổ thông năm học 2021 – 2022 môn Toán sở Giáo dục và Đào tạo tỉnh Lai Châu; kỳ thi được diễn ra vào thứ Tư ngày 18 tháng 05 năm 2022.
Trích dẫn đề thi thử tốt nghiệp THPT năm 2022 môn Toán sở GD&ĐT Lai Châu:
+ Trong không gian Oxyz, cho hai điểm A(2;1;3) và B(6;5;5). Xét khối nón (V) ngoại tiếp mặt cầu đường kính AB có E là tâm đường tròn đáy khối nón. Gọi S là đỉnh của khối nón (V). Khi thể tích của khối nón (N) nhỏ nhất thì mặt phẳng qua đỉnh S và song song với mặt phẳng chứa đường tròn đáy của (N) có phương trình 2x + by + cz + d = 0. Tính T = b + c + d.
+ Cho hàm số bậc ba y = f(x) có đồ thị là đường cong ở hình bên dưới. Gọi x1 và x2 lần lượt là hai điểm cực trị thỏa mãn x2 = x1 + 2 và f(x1) – 3f(x2) = 0 và đồ thị luôn đi qua M(x0;f(x0)) trong đó x0 = x1 – 1; g(x) là hàm số bậc hai có đồ thị qua hai điểm cực trị của đồ thị hàm y = f(x) và điểm M. Tính tỉ số S1/S2 (S1 và S2 lần lượt là diện tích hai hình phẳng được tạo bởi đồ thị hai hàm f(x) và g(x) như hình vẽ).
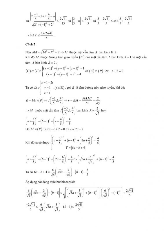
+ Trong không gian với hệ tọa độ Oxyz, từ điểm A(1;1;0) ta kẻ các tiếp tuyến đến mặt cầu (S) có tâm I(-1;1;1) và bán kính R = 1. Gọi M(a;b;c) là một trong các tiếp điểm ứng với các tiếp tuyến trên. Tìm giá trị lớn nhất của biểu thức: T = |2a – b + 2c|.
Đề Thi Thử TN THPT Tỉnh Nghệ An 2022

Đề Thi Thử TN THPT Tỉnh Quảng Bình 2022

